◾ Concept of elastic stability:
There are three conditions of equilibrium i.e., stable, unstable and neutral. A stable equilibrium is one is which the body returns to its orginal position on being displayed from its position of equilibrium i.e., the resulting unbalance force works as a restoring force. In unstable equilibrium the body does not come back to its orginal position, i.e., the resulting unbalance force works as an upsetting force. Under neutral equilibrium the body remains in equilibrium on being slightly disturbed.
When a small axial load is applied to a column, on removal of the load the column comes back to its orginal position and the column is said to be in stable equilibrium. If the axial load now is increased to such a value so that a slight lateral load produces a deflection in the column which remains even if the lateral load is removed, then the column is said to be in neutral equilibrium and the corresponding axial load is called the critical or buckling load. If the axial load is increased beyond this value then the column goes to unstable equilibrium.
◾PDF notes: Download 📒
◾ Types of end condition of column:
In actual practice, there are a number of end condition, for columns. But, we shall study the Euler's column theory on the following four types of end condition, which are important from the subject point of view:
- Both ends hinged,
- Both ends fixed,
- One end fixed and the other hinged, and
- One end is fixed and the other free.
Now we shall discuss the value of critical load for all the above mentioned type of end conditions of columns one by one.
◾ Column with both ends hinged:
◾ Columns with one end fixed and the other free:
◾ Columns with both ends fixed:
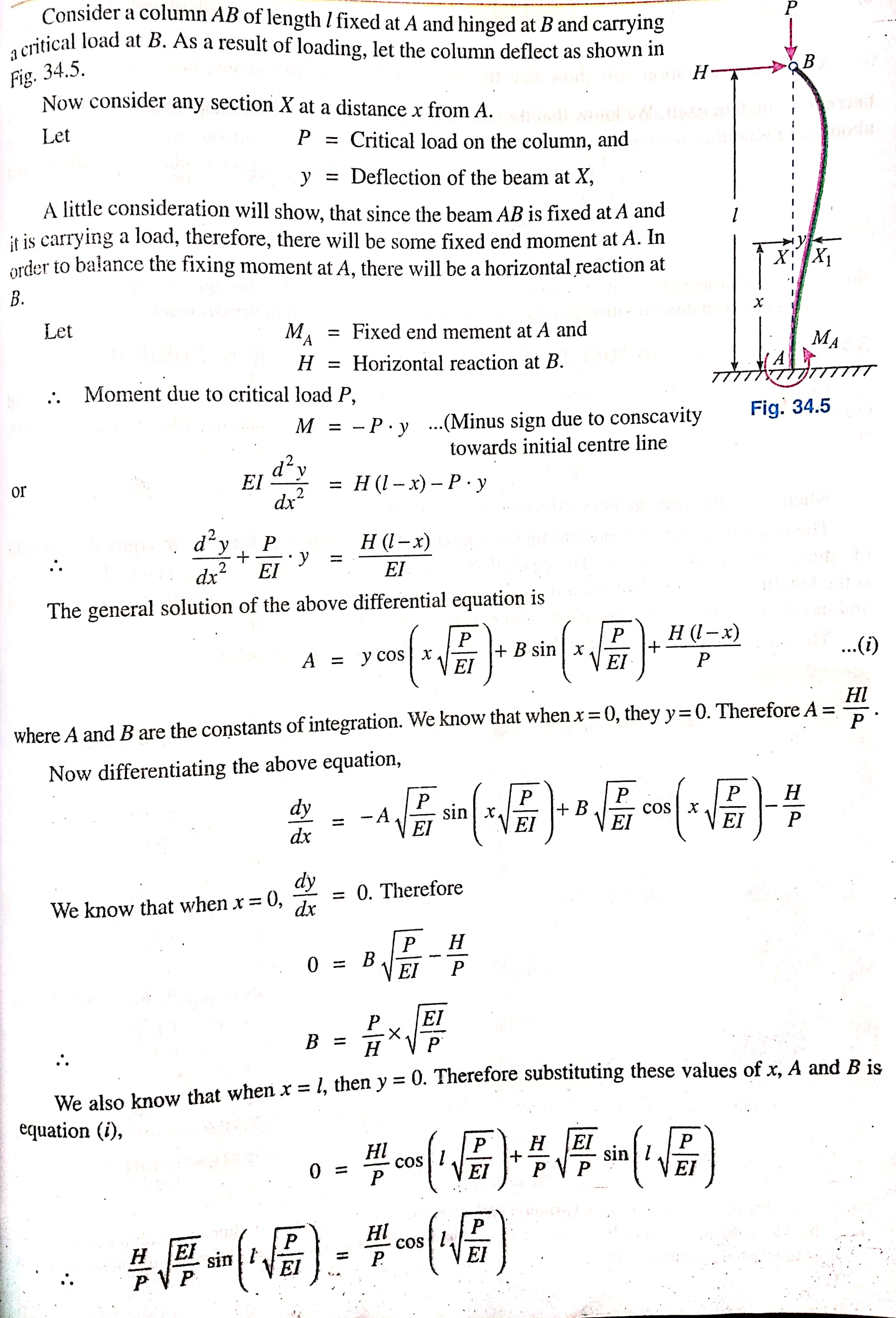
◾ Columns with one end fixed and the other hinged:
◾ Euler's formula and equivalent length of a column:
In the previous article, we have derived the relations for the crippling load under various end conditions. Sometimes, all these cases are represented by a general equation called Euler's formula,
The is another way if representing the equation, for the crippling load by an equivalent length of effective length of a column. The equivalent length of a given column with given end conditions, is the length of an equivalent column of the same material and cross-section with both ends hinged and having the value of the crippling load equal to that of the given column.
◾ Limitations of Euler's formula:
Euler's formula of the crippling load,
: Euler's crippling stress,
A little consideration will show that the crippling stress will be high, when the slenderness ratio is small. We know that the crippling stress for a column material. It is thus obvious that the Euler's formula ( equal to the crushing stress of the column material) corresponding to the slenderness ratio. Now consider a mild steel column. We know that the crushing stress for the mild steel is 320 MP or 320 N/m² and Young's modulus for the mild steel is 200GPa or 200×10³ N/mm².
Now equating the crippling stress to the crushing stress,
Thus, if the slenderness ratio is less than 80 the Euler's formula for a mild steel column is not valid.
Sometimes, the columns, whose slenderness ratio is more than 80 are known as a long column and those whose slenderness ratio is less than 80 are known as short columns. It is thus obvious that the Euler's formula holds good only for long columns.
Note. In the Euler's formula, for crippling load, we have not taken into account the direct stress induced in the material due to the load, ( which increases gradually from zero to its crippling value). As a matter of fact, the combined stress, due to direct load and slight bending reached its allowable value at a load, lower than that required for buckling; and therefore this will be limiting value of the safe load.
*******************************************
Thanks for your time and stey connected for more updates.
Official YouTube channel; Subscribe
If you think this article has helped you, so please like, comment and share.














0 Comments
Please do not enter any spam link in the comments box